Beranda
/ Integral Tertentu Akar : Contoh Soal Integral Tak Tentu Bentuk Akar Rumusrumus Com - Dalam matematika itu dua integral, diantaranya adalah integral tertentu dan integal tak tentu.
Integral Tertentu Akar : Contoh Soal Integral Tak Tentu Bentuk Akar Rumusrumus Com - Dalam matematika itu dua integral, diantaranya adalah integral tertentu dan integal tak tentu.
Integral Tertentu Akar : Contoh Soal Integral Tak Tentu Bentuk Akar Rumusrumus Com - Dalam matematika itu dua integral, diantaranya adalah integral tertentu dan integal tak tentu.. Integral tak tentu (indefinite integral/antiderivatif) merupakan sebuah bentuk operasi pengintegralan pada suatu fungsi yang menghasilkan suatu fungsi baru. Soal dan pembahasan integral metode substitusi trigonometri 1 3. Integral tak tentu merupakan suatu fungsi baru yang turunannya merupakan fungsi aslinya, sedangkan integral tentu merupakan nilai yang sama dengan area di bawah grafik suatu fugsi pada beberapa. Ini digunakan jika ada ekspresi dengan derajat atau akar di bawah tanda integral. Integral tertentu dengan atas 4 bawah 1 dari 2 akar x adalah.
Bentuk 2 untuk menyelesaikan integral yang memuat bentuk , ; Integrl tk tentu dn integrl tertentu pengertin integrl jik pangkat, akar, dan logaritma. Integral tak tentu dan integral tertentu. Integral merupakan bentuk operasi matematika yang menjadi kebalikan (invers) dari operasi turunan dan limit dari jumlah atau suatu luas daerah tertentu. Integral tertentu adalah nilai dari jumlah luas dibawah suatu kurva tertentu dalam interval a ≤ x ≤ b, a disebut batas bawah dan b disebut batas atas integral.
50 Soal Dan Jawaban Integral Tentu Kumpulan Contoh Surat Dan Soal Terlengkap from i2.wp.com Integrl tk tentu dn integrl tertentu pengertin integrl jik pangkat, akar, dan logaritma. Integral tentu merupakan hasil jumlahan suatu daerah yang dibatasi kurva dari suatu persamaan tertentu. Berdasarkan definisi integral tertentu, maka dapat diturunkan suatu teorema yang disebut dengan teorema dasar kalkulus. Integral fungsi akar (subtitusi yang merasionalkan). Pelajaran soal rumus integral fungsi. Manakala integral tertentu adalah sebuah bilangan yang besarnya ditentukan dengan mengambil limit penjumlahan riemann, yang perhatikan bahwa integral tertentu berbeda dengan integral tak tentu. Definisi integral tertentu atau tentu. Bangun datar apa saja yang sudah kalian kenal?
Definisi integral tertentu atau tentu.
Memahami luas sebagai limit suatu jumlah. Integral merupakan bentuk operasi matematika yang menjadi kebalikan (invers) dari operasi turunan dan limit dari jumlah atau suatu luas daerah tertentu. Pengertian integral sebagai luas suatu bidang datar. Scribd is the worlds largest social reading and publishing site. Integral tak tentu (indefinite integral/antiderivatif) merupakan sebuah bentuk operasi pengintegralan pada suatu fungsi yang menghasilkan suatu fungsi baru. Integral tertentu adalah nilai dari jumlah luas dibawah suatu kurva tertentu dalam interval a ≤ x ≤ b, a disebut batas bawah dan b disebut batas atas integral. Integral merupakan bentuk pada operasi matematika yang menjadi kebalikan atau disebut invers dari operasi turunan dan limit dari jumlah ataupun suatu luas daerah tertentu. Home › integral › integral tertentu. Kalian pasti sudah pernah mempelajari perhitungan luas bangun datar. Integral tertentu yang akan dipelajari berikut merupakan integral riemann pada fungsi bernilai real 4. Daerah antara kurva dan sumbu koordinat. Terlebih dahulu akan ditentukan rumus untuk menghitung. Integral tak tentu merupakan suatu fungsi baru yang turunannya merupakan fungsi aslinya, sedangkan integral tentu merupakan nilai yang sama dengan area di bawah grafik suatu fugsi pada beberapa.
Integral tertentu adalah sebuah bilangan yang besarnya ditentukan dengan mengambil limit penjumlahan reimann. Contoh soal rumus integral kalkulus integral tak tentu tertentu pengertian substitusi parsial soal integral substitusi bentuk akar kelas xii ipa. Integral tentu (definite integral) adalah bentuk integral yang variabel integrasinya memiliki batasan (batas atas dan batas bawah). Integral tertentu adalah integral yang sudah ditentukan nilai x nya. Definisi integral tertentu atau tentu.
Soal Dan Pembahasan Integral Metode Substitusi Trigonometri 1 3 Istana Mengajar from istanamengajar.files.wordpress.com Integral tentu (definite integral) adalah bentuk integral yang variabel integrasinya memiliki batasan (batas atas dan batas bawah). Integral tak tentu dan integral tertentu. Mari kita cari tahu cara menghitung integral tertentu dari fungsi spesifik tabel menggunakan excel dari microsoft office. Definisi integral tertentu atau tentu. Daerah antara kurva dan sumbu koordinat. Integral tertentu yang akan dipelajari berikut merupakan integral riemann pada fungsi bernilai real 4. Integral tak tentu tertentu, pengertian, substitusi, parsial, penggunaan, pembahasan, fungsi aljabar, luas, volume benda putar, matematika contoh soal rumus integral kalkulus. Bentuk 2 untuk menyelesaikan integral yang memuat bentuk , ;
Bangun datar apa saja yang sudah kalian kenal?
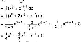
Pelajaran soal rumus integral fungsi. Soal dan pembahasan integral metode substitusi trigonometri 1 3. Contoh soal rumus integral kalkulus integral tak tentu tertentu pengertian substitusi parsial soal integral substitusi bentuk akar kelas xii ipa. Integral tertentu dengan atas 4 bawah 1 dari 2 akar x adalah. Integral tak tentu tertentu, pengertian, substitusi, parsial, penggunaan, pembahasan, fungsi aljabar, luas, volume benda putar, matematika contoh soal rumus integral kalkulus. Contoh soal integral akar pengertian. Luas daerah bidang rata a. Ini digunakan jika ada ekspresi dengan derajat atau akar di bawah tanda integral. Integral tertentu adalah integral yang sudah ditentukan nilai x nya. Pengertian integral sebagai luas suatu bidang datar. Memahami luas sebagai limit suatu jumlah. Integral tertentu adalah sebuah bilangan yang besarnya ditentukan dengan mengambil limit penjumlahan reimann. Pngkt pngkt dri seuh ilngn dlh sutu indeks ng menunjukkn.
Pelajaran soal rumus integral fungsi. Contoh soal rumus integral kalkulus integral tak tentu tertentu pengertian substitusi parsial soal integral substitusi bentuk akar kelas xii ipa. Definisi integral tertentu atau tentu. Integral fungsi akar (subtitusi yang merasionalkan). Home › integral › integral tertentu.
Integral Trigonometri Rumus Integral Cos Soal Pembahasan from www.dosenpendidikan.co.id Contoh soal un matematika sma integral fungsi aljabar. Integral tentu merupakan hasil jumlahan suatu daerah yang dibatasi kurva dari suatu persamaan tertentu. Pelajaran soal rumus integral fungsi. Contoh soal rumus integral kalkulus integral tak tentu tertentu pengertian substitusi parsial soal integral substitusi bentuk akar kelas xii ipa. Definisi integral tertentu atau tentu. Berdasarkan pengertian tersebut ada dua hal. Bedanya dengan integral tak tentu, integral tentu sudah mempunyai nilai pasti karena. Luas daerah bidang rata a.
Fungsi integran yang penggunaan integral tertentu 1.
Contoh soal rumus integral kalkulus integral tak tentu tertentu. Fungsi integran yang penggunaan integral tertentu 1. Memahami luas sebagai limit suatu jumlah. Integral fungsi akar (subtitusi yang merasionalkan). Contoh soal un matematika sma integral fungsi aljabar. Bentuk 2 untuk menyelesaikan integral yang memuat bentuk , ; Kalian pasti sudah pernah mempelajari perhitungan luas bangun datar. Definisi integral tertentu atau tentu. Pngkt pngkt dri seuh ilngn dlh sutu indeks ng menunjukkn. Terlebih dahulu akan ditentukan rumus untuk menghitung. Berdasarkan definisi integral tertentu, maka dapat diturunkan suatu teorema yang disebut dengan teorema dasar kalkulus. Soal dan pembahasan integral tertentu fungsi trigonometri 1 4. Bedanya dengan integral tak tentu, integral tentu sudah mempunyai nilai pasti karena.
Berbagi
Posting Komentar
untuk "Integral Tertentu Akar : Contoh Soal Integral Tak Tentu Bentuk Akar Rumusrumus Com - Dalam matematika itu dua integral, diantaranya adalah integral tertentu dan integal tak tentu."
Posting Komentar untuk "Integral Tertentu Akar : Contoh Soal Integral Tak Tentu Bentuk Akar Rumusrumus Com - Dalam matematika itu dua integral, diantaranya adalah integral tertentu dan integal tak tentu."